Vol 31 Issue 4, December 2018


Total Articles: 22

Biology and Biotechnology of
Papaya, an important fruit crop of
tropics: A Review
Biology and Biotechnology of Papaya, an important fruit crop of tropics: A Review

Review Article


Views: 3529
Pages: 1-15
Published: 11 January, 2019
Doi: 10.5958/2229- 4473.2018.00086.1

Biochemical Characterization of Building Block of Condensed Tannin in Faba Bean (Vicia faba L.)
Biochemical Characterization of Building Block of Condensed Tannin in Faba Bean (Vicia faba L.)

Research Article


Views: 4199
Pages: 25-27
Published: 11 January, 2019
Doi: 10.5958/2229-4473.2018.00088.5

In vitro Culturing and Biochemical properties of Green and Blue-Green Algae in the Laterite soil
In vitro Culturing and Biochemical properties of Green and Blue-Green Algae in the Laterite soil

Research Article


Views: 4421
Pages: 28-34
Published: 11 January, 2019
Doi:

Structural Characterization of complete Chloroplast Genome of Sporobolus helvolus (Poaceae)
Structural Characterization of complete Chloroplast Genome of Sporobolus helvolus (Poaceae)

Research Article


Views: 4067
Pages: 35-38
Published: 11 January, 2019
Doi: 10.5958/2229-4473.2018.00090.3

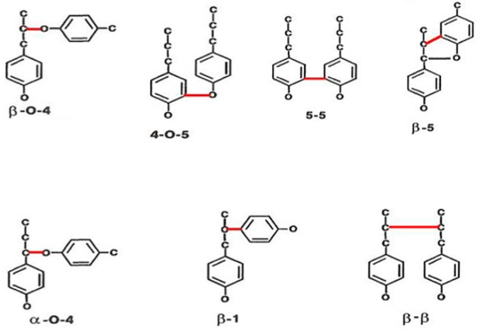
Lignin Biodegradation in Nature and Significance
Lignin Biodegradation in Nature and Significance

Research Article


Views: 4790
Pages: 39-44
Published: 11 January, 2019
Doi: 10.5958/2229-4473.2018.00091.5

Identification of the Constituents lacking in Bonner-Devirian Medium that makes it Incapable of supporting Flowering of the Duckweed, Lemna gibba L. G3
Identification of the Constituents lacking in Bonner-Devirian Medium that makes it Incapable of supporting Flowering of the Duckweed, Lemna gibba L. G3

Research Article


Views: 4460
Pages: 45-51
Published: 11 January, 2019
Doi: 10.5958/2229-4473.2018.00092.7

Karyotype Stasis and Genetic Diversity in Amomum spp. from Tripura, North-East India
Karyotype Stasis and Genetic Diversity in Amomum spp. from Tripura, North-East India

Research Article


Views: 4696
Pages: 52-58
Published: 11 January, 2019
Doi: 10.5958/2229-4473.2018.00093.9

Blue Green Algal Flora of Alwar (Raj) India
Blue Green Algal Flora of Alwar (Raj) India

Research Article


Views: 4150
Pages: 59-61
Published: 11 January, 2019
Doi: 10.5958/2229-4473.2018.00094.0